Angaben zur Quelle [Bearbeiten]
| Autor | Jens Rohwer |
| Titel | Untersuchungen zur Typ I Allergie des Pferdes: Phänotypische Charakterisierung equiner Typ I Effektorzellen und ihre Antikörper vermittelte Modulation |
| Ort | Hannover |
| Jahr | 2004 |
| Anmerkung | Inaugural Dissertation zur Erlangung des Grades eines Doctor of Philosophy (PhD) durch die Tierärztliche Hochschule Hannover |
| URL | http://elib.tiho-hannover.de/dissertations/rohwerj_ws04.pdf |
Literaturverz. |
ja |
| Fußnoten | ja |
| Fragmente | 17 |
| [1.] Ad/Fragment 015 03 - Diskussion Zuletzt bearbeitet: 2014-07-08 17:44:12 Hindemith | Ad, Fragment, Gesichtet, KomplettPlagiat, Rohwer 2004, SMWFragment, Schutzlevel sysop |
|
|
| Untersuchte Arbeit: Seite: 15, Zeilen: 3ff. |
Quelle: Rohwer 2004 Seite(n): 26, Zeilen: 4ff |
|---|---|
| Sämtliche Immunmechanismen, aus denen sich nach heutigem Verständnis das klinische Bild einer Allergie entwickeln kann, finden im Rahmen physiologischer Prozesse ihre Entsprechung. Die Initiation der jeweiligen Immunmechanismen ist immer Bestandteil einer adaptiven Immunantwort, während die reaktiven, häufig inflammatorischen Prozesse eher dem angeborenen Ast des Immunsystems angehören. Immunmechanismen, die sich, entgegen ihrer eigentlichen Bestimmung, inadäquat, oft in überschießendem Maße gegen Antigene richten und so zur Erkrankung des Individuums führen, bezeichnet man daher als Allergien. Sie sind somit Hypersensibilitäts-oder Überempfindlichkeitsreaktionen. Die vom Immunsystem mit einer solchen überschießenden Reaktion beantworteten Antigene werden als „Allergene“ bezeichnet. Diese Allergene sind zumeist exogene Antigene, deren Herkunft pflanzlicher, tierischer oder, im Einzelfall anorganischer Natur sein kann. Wenn sich die Antwort des Immunsystems gegen körpereigene Antigene richtet, grenzt man die Allergie (exogene Antigene) gegen die Autoagression ab (endogene Antigene).
GELL und COOMBS. (1968) teilten die Allergien in vier Typen ein und unterschieden dabei grob Antikörper vermittelte Immunreaktionen (Typen I bis III) von Antikörper unabhängigen, Zell vermittelten (Typ IV). Diese Formen von Immunmechanismen haben primär wichtige physiologische Bedeutungen. Aus weitgehend noch unbekannten Gründen können diese lebens- und funktionserhaltenden Mechanismen „überschießend“ ausgeführt und so zu Pathomechanismen werden. Eine Typ V Allergie, deren Antikörper abhängiger Pathomechanismus sich deutlich von den anderen Typen unterscheidet, hat bisher noch keinen allgemein gültigen Eingang ins Schrifttum gefunden. Typ I-Allergien sind die Allergien vom Soforttyp, bei denen die klinischen Symptome in der Regel sehr schnell, meist innerhalb von Minuten (selten Stunden) nach dem Allergenkontakt auftreten. Diesem Mechanismus können protektive, regulatorische aber auch überschießende immunologische Reaktionen zugeordnet werden (COSTA et al. 1997). Im Rahmen der immunologischen Antwort eines Individuums gegen ein Antigen synthetisieren B-Zellen, unter Einfluss von TH2-Zellen und deren Signalmolekülen [(Interleukinen) allergenspezifisches IgE.] |
Sämtliche Immunmechanismen, aus denen sich nach heutigem Verständnis das klinische Bild einer Allergie entwickeln kann, finden im Rahmen physiologischer Prozesse ihre Entsprechung. Die Initiation der jeweiligen Immunmechanismen ist immer Bestandteil einer adaptiven Immunantwort, während die reaktiven, häufig inflammatorischen Prozesse eher dem angeborenen Ast des Immunsystems angehören. Immunmechanismen, die sich, entgegen ihrer eigentlichen Bestimmung, inadäquat, oft in überschießendem Maße gegen Antigene richten und so zur Erkrankung des Individuums führen, bezeichnet man daher als Allergien. Sie sind somit Hypersensibilitäts-oder Überempfindlichkeitsreaktionen. Die vom Immunsystem mit einer solchen überschießenden Reaktion beantworteten Antigene werden als „Allergene“ bezeichnet. Diese Allergene sind zumeist exogene Antigene, deren Herkunft pflanzlicher, tierischer oder, im Einzelfall anorganischer Natur sein kann. Wenn sich die Antwort des Immunsystems gegen körpereigene Antigene richtet, grenzt man die Allergie (exogene Antigene) gegen die Autoagression ab (endogene Antigene).
GELL und COOMBS (1968) teilten die Allergien in vier Typen ein und unterschieden dabei grob Antikörper vermittelte Immunreaktionen (Typen I bis III) von Antikörper unabhängigen, Zell vermittelten (Typ IV). Diese Formen von Immunmechanismen haben primär wichtige physiologische Bedeutungen. Aus weitgehend noch unbekannten Gründen können diese lebens- und funktionserhaltenden Mechanismen „überschießend“ ausgeführt und so zu Pathomechanismen werden. Eine Typ V Allergie, deren Antikörper abhängiger Pathomechanismus sich deutlich von den anderen Typen unterscheidet, hat bisher noch keinen allgemein gültigen Eingang ins Schrifttum gefunden. Typ I-Allergien sind die Allergien vom Soforttyp, bei denen die klinischen Symptome in der Regel sehr schnell, meist innerhalb von Minuten (selten Stunden) nach dem Allergenkontakt auftreten. Diesem Mechanismus können protektive, regulatorische aber auch überschießende immunologische Reaktionen zugeordnet werden (COSTA et al. 1997). Im Rahmen der immunologischen Antwort eines Individuums gegen ein Antigen synthetisieren B-Zellen, unter Einfluss von TH2-Zellen und deren Signalmolekülen (Interleukinen) allergenspezifisches IgE. |
Selbsterklärend. |
|
| [2.] Ad/Fragment 016 01 - Diskussion Zuletzt bearbeitet: 2014-07-08 17:44:08 Hindemith | Ad, Fragment, Gesichtet, Rohwer 2004, SMWFragment, Schutzlevel sysop, Verschleierung |
|
|
| Untersuchte Arbeit: Seite: 16, Zeilen: 1ff. (komplett) |
Quelle: Rohwer 2004 Seite(n): 26-27, Zeilen: 26: 29ff - 27: 1ff |
|---|---|
| [Im Rahmen der immunologischen Antwort eines Individuums gegen ein Antigen synthetisieren B-Zellen, unter Einfluss von TH2-Zellen und deren Signalmolekülen] (Interleukinen) allergenspezifisches IgE. Dieses IgE wird, im Gegensatz zu anderen Immunglobulinen, schon in unkomplexierter Form über den hochaffinen Fcε-Rezeptor I (FcεRI) auf der Oberfläche von v.a. Mastzellen und basophilen Granulozyten gebunden. Diese zwei Zelltypen exprimieren diesen Rezeptor konstitutiv, während er auf einigen anderen Zellen induziert werden kann (FROESE 1984).
Freies Serum-IgE hat eine Halbwertszeit von Wenigen [sic] stunden [sic] bis Tagen. Ungebunden liegt IgE im Vergleich zu anderen Immunglobulin-Isotypen in sehr geringen Konzentrationen im Serum vor. Allerdings ergeben sich hier tierartliche Unterschiede in stärkerem Maße, als bisher vermutet (WAGNER et al. 2002) Ein wesentlicher Grund für den niedrigen IgE Spiegel ist die Bindung an FcεRI, denn frei verfügbares IgE steigert die Expression dieses Rezeptor (FURUICHI et al. 1985; KUBO et al.2001). Durch die Expression neuer Rezeptoren für IgE wird der Serumspiegel an IgE gesenkt. In letzter Zeit konnten verschiedene Arbeitsgruppen zeigen, dass bereits die Bindung von freiem IgE an seinen Rezeptor eine Signaltransduktion hervorruft (CHARLES et al. 2004). Bereits diese Bindung trägt zur Aktivierung, der Rezeptorexpression sowie zum Überleben der TypI-allergischen Effektorzellen bei (KITAURA et al. 2003). Dieser autokrine Verstärkungsmechanismus der FcεRI Expression ist initial nur vom Isotyp, also dem IgE abhängig. Eine fortgesetzte Präsenz des Antigens (Allergens) kann aber eine positive Rückkopplung des Typ I Immunmechanismus bewirken, indem allergenspezifische B-Zellen iterativ aktiviert werden. Die notwendigen Zytokine werden von Basophilen und/oder Mastzellen selbst zur Verfügung gestellt (GAUCHAT et al. 1993; YANAGIHARA et al. 1998). Als Folge dominieren jene IgE-Idiotypen den Serumpool, deren B-Zellen wiederholt oder dauerhaft aktiviert werden. Kommt es im weiteren zu einem erneuten Kontakt des Individuums mit dem Allergen, so führt dessen Bindung an die spezifischen zellständigen IgE-Moleküle der sensibilisierten Mastzellen oder Basophilen zu einer Kreuzvernetzung dieser Immunglobuline, sofern sie auf der Zelloberfläche in ausreichender Dichte vorhanden sind. Die so herbeigeführte Zusammenlagerung der Fcε-Rezeptoren aktiviert die Zelle, die zum einen innerhalb von Sekunden mit Degranulation präformierter Entzündungsmediatoren (u.a. Histamin, Proteoglykane, Proteasen) aus zytoplasmatischen Granula reagiert (Sofortreaktion). Zudem werden Arachidonsäuremetaboliten, wie bestimmte Leukotriene (Lipoxygenasemetaboliten; v.a. LTC4, LTD4, LTE4) und Prostaglandine (Cyclooxygenasemetaboliten; v.a. PGD2), aber [auch Zytokine (u.a. IL4, TNFα) neu synthetisiert und ausgeschüttet.] |
Im Rahmen der immunologischen Antwort eines Individuums gegen ein Antigen synthetisieren B-Zellen, unter Einfluss von TH2-Zellen und deren Signalmolekülen (Interleukinen) allergenspezifisches IgE. Dieses IgE wird, im Gegensatz zu anderen Immunglobulinen, schon in unkomplexierter Form über den hochaffinen Fcε-Rezeptor I
[Seite 27] (FcεRI) auf der Oberfläche von v.a. Mastzellen und basophilen Granulozyten gebunden. Diese zwei Zelltypen exprimieren diesen Rezeptor obligatorisch, während er auf einigen anderen Zellen induziert werden kann (FROESE 1984). Freies Serum-IgE hat eine Halbwertszeit von wenigen Tagen. Ungebunden liegt IgE im Vergleich zu anderen Immunglobulin-Isotypen in sehr geringen Konzentrationen im Serum vor. Allerdings ergeben sich hier tierartliche Unterschiede in stärkerem Maße, als bisher vermutet. (IgE Spiegel aus WAGNER et al. 2002) Ein wesentlicher Grund für den niedrigen IgE Spiegel ist die Bindung an FcεRI, denn frei verfügbares IgE induziert diesen Rezeptor (FURUICHI et al. 1985; KUBO et al. 2001). Durch die Expression neuer Rezeptoren für IgE wird der Serumspiegel an IgE gesenkt. In letzter Zeit konnten verschiedene Arbeitsgruppen zeigen, dass bereits die Bindung von freiem IgE an seinen Rezeptor eine Signaltransduktion hervorruft (CHARLES et al. 2004). Bereits diese Bindung trägt zur Aktivierung, der Rezeptorexpression sowie zum Überleben der allergischen Effektorzellen bei (KITAURA et al. 2003). Dieser autokrine Verstärkungsmechanismus der FcεRI Expression ist initial nur vom Isotyp, also dem IgE abhängig. Eine fortgesetzte Präsenz des Antigens (Allergens) kann aber eine positive Rückkopplung des Typ I Immunmechanismus bewirken, indem allergenspezifische B-Zellen iterativ aktiviert werden. Die notwendigen Zytokine werden von Basophilen und/oder Mastzellen selbst zur Verfügung gestellt (GAUCHAT et al. 1993; YANAGIHARA et al. 1998). Als Folge dominieren jene IgE-Idiotypen den Serumpool, deren B-Zellen wiederholt oder dauerhaft aktiviert werden. Kommt es im weiteren zu einem erneuten Kontakt des Individuums mit dem Allergen, so führt dessen Bindung an die spezifischen zellständigen IgE-Moleküle der sensibilisierten Mastzellen oder Basophilen zu einer Kreuzvernetzung dieser Immunglobuline, sofern sie auf der Zelloberfläche in ausreichender Dichte vorhanden sind. Die so herbeigeführte Zusammenlagerung der Fcε-Rezeptoren aktiviert die Zelle, die zum einen innerhalb von Sekunden mit Degranulation präformierter Entzündungsmediatoren (u.a. Histamin, Proteoglykane, Proteasen) aus zytoplasmatischen Granula reagiert (Sofortreaktion). Zudem werden Arachidonsäuremetaboliten, wie bestimmte Leukotriene (Lipoxygenasemetaboliten; v.a. LTC4, LTD4, LTE4) und Prostaglandine (Cyclooxygenasemetaboliten; v.a. PGD2), aber auch Zytokine (u.a. IL4, TNFα) neu synthetisiert und ausgeschüttet. |
|
|
| [3.] Ad/Fragment 017 01 - Diskussion Zuletzt bearbeitet: 2014-07-08 17:44:05 Hindemith | Ad, Fragment, Gesichtet, Rohwer 2004, SMWFragment, Schutzlevel sysop, Verschleierung |
|
|
| Untersuchte Arbeit: Seite: 17, Zeilen: 1ff (komplett) |
Quelle: Rohwer 2004 Seite(n): 27-28, Zeilen: 27: 28ff - 28: 1ff |
|---|---|
| [Zudem werden Arachidonsäuremetaboliten, wie bestimmte Leukotriene (Lipoxygenasemetaboliten; v.a. LTC4, LTD4, LTE4) und Prostaglandine (Cyclooxygenasemetaboliten; v.a. PGD2), aber] auch Zytokine (u.a. IL4, TNFα) neu synthetisiert und ausgeschüttet. Diese erhalten die Entzündungsreaktion über Stunden aufrecht (Spätreaktion).
Im gesunden Individuum besiedeln die Mastzellen die Lamina propria der Schleimhäute sowie das Korium der Haut. Wie auch der Basophile entstehen die Mastzellen im Knochenmark. Während ihres Aufenthaltes im peripheren Blut beladen sich die Zellen mit monomerem IgE und verlassen derart sensibilisiert die Blutbahn. Dementsprechend werden die Fcε Rezeptoren mit einem zum Zeitpunkt der Beladung repräsentativem Querschnitt aller aktuellen IgE - Idiotypen im Serum ausgestattet. Im Gewebe können diese Zellen dann bei erneutem Kontakt zu einem Antigen, gegen das sie spezifische Immunglobuline gebunden haben, degranulieren. Mastzellen stellen somit einen wesentlichen Anteil der „first line of defense“ dar. Die freigesetzten Mediatoren bewirken im Gewebe eine lokale Begrenzung der Antigenverteilung, indem sich der Blutfluss im irritierten Bereich verlangsamt und die Exsudation von Plasma sich erhöht. Es kommt zur Ödembildung. Im Folgenden werden weitere Leukozyten chemotaktisch angelockt. Es etabliert sich eine Entzündung. Seine physiologische Bedeutung hat dieser Mechanismus v.a. im Zuge der Immunantwort auf parasitäre Infektionen (Helminthen). Er ist aber auch bei der Abwehr anderer Pathogene, inklusive bakterieller, beteiligt. Kommt es zur Ausprägung pathologischer Hypersensibilitätsreaktionen unter diesem Mechanismus können diese lokal beschränkt, aber auch systemisch ablaufen. Beispiele für Typ I Allergien des Menschen sind die allergische Rhinitis (Heuschnupfen), das Asthma, aber auch die systemische Anaphylaxie bis hin zum allergischen Schock. Eine Aktivierung der Zellen zur Mediatorfreisetzung ist allerdings nicht alleine auf eine IgE-Vermittlung beschränkt. Auch andere Substanzen sind über spezifische Rezeptoren, z.B. IgG über FcγRI, IIa und III, in der Lage, eine Degranulation sowie die Neusynthese der Mediatoren auszulösen. Untersuchungen bei allergischen Reaktionen haben bei Maus und Mensch gezeigt, dass hier verschiedene IgG-Isotypen beteiligt sind. Entsprechende Fcγ-Rezeptoren, die die Bindung von IgG-Isotypen auf Mastzellen ermöglichen, konnten auf humanen Mastzellen nachgewiesen werden (OKAYAMA et al. 2000).Weitere [sic] Untersuchungen haben gezeigt, dass bei der Maus das IgG1 (DOMBROWICZ et al. 1997) und beim Mensch das IgG4 (KIEKENS et al. 2000) eine modulatorische Rolle bei der Aktivierung der Effektorzellen der Typ I Allergie (Mastzellen, basophile Granulozyten) und damit bei der Freisetzung der allergischen Symptome auslösenden Mediatoren wie z.B. dem Histamin spielt. Nachgewiesen werden [konnte dies im Mausmodell: Mäusen, denen das IGHE Gen fehlt und die somit nicht in der Lage sind, IgE zu produzieren, zeigten dennoch anaphylaktische Reaktionen und nachgewiesene Mediatorfreisetzung aus Mastzellen (OETTGEN et al. 1994).] |
Zudem werden Arachidonsäuremetaboliten, wie bestimmte Leukotriene (Lipoxygenasemetaboliten; v.a. LTC4, LTD4, LTE4) und Prostaglandine (Cyclooxygenasemetaboliten; v.a. PGD2), aber auch Zytokine (u.a. IL4, TNFα) neu synthetisiert und ausgeschüttet. Diese erhalten die Entzündungsreaktion über Stunden aufrecht (Spätreaktion).
Im gesunden Individuum besiedeln die Mastzellen die Lamina propria der Schleimhäute sowie die Subcutis der Epidermis. Wie auch der Basophile entstehen die Mastzellen im Knochenmark. Während ihres Aufenthaltes im peripheren Blut beladen sich die Zellen mit [Seite 28] monomerem IgE und verlassen derart sensibilisiert die Blutbahn. Dementsprechend werden die Fcε Rezeptoren mit einem zum Zeitpunkt der Beladung repräsentativem Querschnitt aller IgE - Idiotypen im Serum ausgestattet .Im Gewebe können diese Zellen dann bei erneutem Kontakt zu einem Antigen, gegen das sie spezifische Immunglobuline gebunden haben, degranulieren. Mastzellen stellen somit einen wesentlichen Anteil der „first line of defense“ dar. Die freigesetzten Mediatoren bewirken im Gewebe eine lokale Begrenzung der Antigenverteilung, indem sich der Blutfluss im irritierten Bereich verlangsamt und die Exsudation von Plasma sich erhöht. Es kommt zur Ödembildung. Im Folgenden werden weitere Leukozyten chemotaktisch angelockt. Es etabliert sich eine Entzündung. Seine physiologische Bedeutung hat dieser Mechanismus v.a. im Zuge der Immunantwort auf parasitäre Infektionen (Helminthen). Er ist aber auch bei der Abwehr anderer Pathogene, inklusive bakterieller, beteiligt. Kommt es zur Ausprägung pathologischer Hypersensibilitätsreaktionen unter diesem Mechanismus können diese lokal beschränkt, aber auch systemisch ablaufen. Beispiele für Typ I Allergien des Menschen sind die allergische Rhinitis (Heuschnupfen), das Asthma, aber auch die systemische Anaphylaxie bis hin zum allergischen Schock. Eine Aktivierung der Zellen zur Mediatorfreisetzung ist allerdings nicht alleine auf eine IgE-Vermittlung beschränkt. Auch andere Substanzen sind über spezifische Rezeptoren, z.B. IgG über FcγRI, IIa und III, in der Lage, eine Degranulation sowie die Neusynthese der Mediatoren auszulösen. Untersuchungen bei allergischen Reaktionen haben bei Maus und Mensch gezeigt, dass hier verschiedene IgG-Isotypen beteiligt sind. Entsprechende Fcγ-Rezeptoren, die die Bindung von IgG-Isotypen auf Mastzellen ermöglichen, konnten auf humanen Mastzellen nachgewiesen werden (OKAYAMA et al. 2000 & 2003). Weitere Untersuchungen haben gezeigt, dass bei der Maus das IgG1 (DOMBROWICZ et al. 1997) und beim Mensch das IgG4 (KIEKENS et al. 2000) eine modulatorische Rolle bei der Aktivierung der Effektorzellen der Typ I Allergie (Mastzellen, basophile Granulozyten) und damit bei der Freisetzung der allergischen Symptome auslösenden Mediatoren wie z.B. dem Histamin spielt. Nachgewiesen werden konnte dies im Mausmodell: Mäusen, denen das IGHE Gen fehlt und die somit nicht in der Lage sind, IgE zu produzieren, zeigten dennoch anaphylaktische Reaktionen und nachgewiesene Mediatorfreisetzung aus Mastzellen (OETTGEN et al. 1994). |
Selbsterklärend. |
|
| [4.] Ad/Fragment 018 01 - Diskussion Zuletzt bearbeitet: 2014-07-08 17:50:04 Hindemith | Ad, Fragment, Gesichtet, KomplettPlagiat, Rohwer 2004, SMWFragment, Schutzlevel sysop |
|
|
| Untersuchte Arbeit: Seite: 18, Zeilen: 1ff (komplett) |
Quelle: Rohwer 2004 Seite(n): 28-29, Zeilen: 28: 29ff - 29: 1ff |
|---|---|
| [Nachgewiesen werden] konnte dies im Mausmodell: Mäusen, denen das IGHE Gen fehlt und die somit nicht in der Lage sind, IgE zu produzieren, zeigten dennoch anaphylaktische Reaktionen und nachgewiesene Mediatorfreisetzung aus Mastzellen (OETTGEN et al. 1994). Im Mausmodell ebenfalls nachgewiesen ist die inhibitorische Wirkung auf die IgE vermittelten allergischen Reaktionen durch FcγRIIb-Rezeptoren nach der Bindung von IgG (UJIKE et al. 1999; KATZ 2002).
Bei Typ II Mechanismen dagegen handelt es sich um durch Antikörper vom IgG- und IgM-Isotyp vermittelte Immunmechanismen. Auf der Oberfläche partikulärer Antigene gebundenes IgG (Antigen-Antikörper-Komplex) kann Phagozyten über deren Fc?-Rezeptoren dazu aktivieren, diese opsonisierten Antigene per Phagozytose zu eliminieren. Auf Zelloberflächen gebundenes IgG kann von NK-Zellen, die den FcγRIII exprimieren, erkannt werden, woraufhin diese die antikörpermarkierten Zielzellen zytotoxisch zerstören (antikörperabhängige zelluläre Zytotoxizität (ADCC)). Ein dritter IgG-vermittelter Mechanismus ist die Aktivierung des klassischen Weges der Komplementkaskade über die Bindung von antigengebundenem IgG, und effektiver noch IgM, an C1q, einem von drei Proteinen im C1-Komplex. Die Aktivierung von C1q durch IgG erfordert jedoch eine ausreichend hohe Epitop- und Immunglobulindichte auf dem Pathogen, da dieser Komplementfaktor hierzu an mindestens zwei aktivierten Fc-Teilen komplementbindender Immunglobulinmoleküle binden muss. Im Rahmen dieser Allergie sind die Antikörper gegen zellassoziierte Antigene gerichtet und lösen entweder über Phagozyten und NK-Zellen oder über das Komplementsystem die charakteristischen Effektormechanismen aus. Ein Beispiel aus der Humanmedizin hierfür sind die Überempfindlichkeitsreaktionen gegen Penicillin, Methyldopa oder Chinidin. Diese Medikamente binden auf der Zelloberfläche von Erythrozyten oder Thrombozyten. Existieren spezifische Antikörper, die diese Medikamente erkennen, binden diese und lösen eine Komplementaktivierung aus, die zur Entfernung der betroffenen Blutzellen und somit zur immunhämolytischen Anämie bzw. Thrombozytopenie führt. Antikörper können ebenso gegen körpereigene Zell- oder Matrixantigene gebildet werden und sind unter dem Typ II-Mechanismus so die Ursache für Autoimmunerkrankungen, wie die autoimmune hämolytische Anämie, thrombozytopenische Purpura, Goodpasture-Syndrom, oder Pemphigus vulgaris. |
Nachgewiesen werden konnte dies im Mausmodell: Mäusen, denen das IGHE Gen fehlt und die somit nicht in der Lage sind, IgE zu produzieren, zeigten dennoch anaphylaktische Reaktionen und nachgewiesene Mediatorfreisetzung aus Mastzellen (OETTGEN et al. 1994). Im Mausmodell ebenfalls nachgewiesen, ist die inhibitorische Wirkung auf die IgE vermittelten allergischen Reaktionen durch bestimmte FcγRIIb-Rezeptoren nach der Bindung von IgG (UJIKE et al. 1999; KATZ et al. 2002).
[Seite 29] Bei Typ II Mechanismen dagegen handelt es sich um durch Antikörper vom IgG- und IgM-Isotyp vermittelte Immunmechanismen. Auf der Oberfläche partikulärer Antigene gebundenes IgG (Antigen-Antikörper-Komplex) kann Phagozyten über deren Fcγ-Rezeptoren dazu aktivieren, diese opsonisierten Antigene per Phagozytose zu eliminieren. Auf Zelloberflächen gebundenes IgG kann von NK-Zellen, die den FcγRIII exprimieren, erkannt werden, woraufhin diese die antikörpermarkierten Zielzellen zytotoxisch zerstören (antikörperabhängige zelluläre Zytotoxizität (ADCC)). Ein dritter IgG-vermittelter Mechanismus ist die Aktivierung des klassischen Weges der Komplementkaskade über die Bindung von antigengebundenem IgG, und effektiver noch IgM, an C1q, einem von drei Proteinen im C1-Komplex. Die Aktivierung von C1q durch IgG erfordert jedoch eine ausreichend hohe Epitop- und Immunglobulindichte auf dem Pathogen, da dieser Komplementfaktor hierzu an mindestens zwei aktivierten Fc-Teilen komplementbindender Immunglobulinmoleküle binden muss. Im Rahmen dieser Allergie sind die Antikörper gegen zellassoziierte Antigene gerichtet und lösen entweder über Phagozyten und NK-Zellen oder über das Komplementsystem die charakteristischen Effektormechanismen aus. Ein Beispiel aus der Humanmedizin hierfür sind die Überempfindlichkeitsreaktionen gegen Penicillin, Methyldopa oder Chinidin. Diese Medikamente binden auf der Zelloberfläche von Erythrozyten oder Thrombozyten. Existieren spezifische Antikörper, die diese Medikamente erkennen, binden diese und lösen eine Komplementaktivierung aus, die zur Entfernung der betroffenen Blutzellen und somit zur immunhämolytischen Anämie bzw. Thrombozytopenie führt. Antikörper können ebenso gegen körpereigene Zell- oder Matrixantigene gebildet werden und sind unter dem Typ II-Mechanismus so die Ursache für Autoimmunerkrankungen, wie die autoimmune hämolytische Anämie, thrombozytopenische Purpura, Goodpasture-Syndrom, oder Pemphigus vulgaris. |
Selbsterklärend. |
|
| [5.] Ad/Fragment 019 01 - Diskussion Zuletzt bearbeitet: 2014-07-08 17:44:01 Hindemith | Ad, Fragment, Gesichtet, KomplettPlagiat, Rohwer 2004, SMWFragment, Schutzlevel sysop |
|
|
| Untersuchte Arbeit: Seite: 19, Zeilen: 1ff (komplett) |
Quelle: Rohwer 2004 Seite(n): 29-30, Zeilen: 29: 26ff - 30: 1ff |
|---|---|
| Auch bei Immunmechanismen vom Typ III sind Antikörper beteiligt. Im Gegensatz zu Typ II-Mechanismen sind die Antikörper jedoch gegen lösliche Antigene gerichtet, mit denen sie primär lösliche Immunkomplexe bilden.
Die im Verlauf der physiologischen Immunreaktion gebildeten Antigen-Antikörper-Komplexe aktivieren – wenn komplementbindende Isotypen beteiligt sind -das Komplementsystem (klassischer Weg), werden mit dessen Hilfe über den Komplementfaktor C3b an Erythrozyten angelagert (Komplementrezeptor 1 (CR1)) und zur Milz und Leber transportiert, wo sie von Makrophagen phagozytiert werden. Bei der Typ III-Allergie entstehen durch Antigenüberschuss relativ kleine Aggregate von Antigen-Antikörper-Komplexen. Durch diese wird das Komplementsystem schlechter aktiviert (mangels komplementbindender Antikörperisotypen) und deshalb werden diese Immunkomplexe schlechter oder gar nicht an Erythrozyten gebunden, da diese zwar den Komplementrezeptor CR1, jedoch keine Fc-Rezeptoren haben. Dies führt zu einem verminderten Abbau kleiner Immunkomplexe. Diese freien Komplexe neigen dazu, sich an den Basalmembranen kleiner Gefäße abzulagern. Mastzellen können solche Komplexe binden (über FcγRIII) und dadurch aktiviert werden. Die TNFα-Freisetzung durch so aktivierte Mastzellen gilt als Hauptursache für die nachfolgenden Entzündungsreaktionen (WATANABE et al. 1999; BAUMANN et al. 2001), da hierdurch Leukozyten in das Entzündungsgebiet gelockt werden. Über eine Verknüpfung von Fc-Rezeptoren und Komplementrezeptoren auf Leukozyten werden diese aktiviert und lösen im Folgenden eine Schädigung des umliegenden Gewebes aus. Ein klassisches Beispiel für die Typ III-Allergie ist die so genannte „Serumkrankheit“, die heute noch bei der Anti-Venin-Behandlung eine Rolle spielt. Serum von Pferden, die zuvor mit Schlangengift immunisiert wurden, dient dabei als Quelle für neutralisierende Antikörper bei der Behandlung von Schlangenbissen beim Menschen. Injizierte Bestandteile, insbesondere die Antikörper aus dem Pferdeserum, lösen eine adaptive Immunantwort des Empfängers mit Bildung anti equiner Antikörper aus, die bei wiederholter Applikation eines solchen Serums zur Immunkomplexbildung mit den zirkulierenden Antigenen führt. Diese massive Bildung von Immunkomplexen führt zu deren Ablagerung in Gefäßen, Nieren und Gelenken und somit zu autoagressiven Vasculitiden, Glomerulonephritis und Arthritiden. Auch Autoimmunerkrankungen können nach diesem Mechanismus ablaufen, z.B. bei der gemischten essentiellen Kryoglobulinämie (Antikörper gegen körpereigene Immunglobuline) oder dem systemischen Lupus erythematodes mit Bildung von ANA´s (Anti Nukleäre [Antikörper: Antikörper gegen u.a. körpereigene Zellkernbestandteile wie DNS, Histonen oder anderen Nukleoproteinen).] |
Auch bei Immunmechanismen vom Typ III sind Antikörper beteiligt. Im Gegensatz zu Typ II-Mechanismen sind die Antikörper jedoch gegen lösliche Antigene gerichtet, mit denen sie primär lösliche Immunkomplexe bilden.
Die im Verlauf der physiologischen Immunreaktion gebildeten Antigen-Antikörper-Komplexe aktivieren – wenn komplementbindende Isotypen beteiligt sind -das Komplementsystem (klassischer Weg), werden mit dessen Hilfe über den Komplementfaktor C3b an Erythrozyten angelagert (Komplementrezeptor 1) und zur Milz und Leber transportiert, wo sie von Makrophagen phagozytiert werden. Bei der Typ III-Allergie entstehen durch Antigenüberschuss relativ kleine Aggregate von Antigen-Antikörper-Komplexen. Durch diese wird das Komplementsystem schlechter aktiviert (mangels komplementbindender Antikörperisotypen) und deshalb werden diese [Seite 30] Immunkomplexe schlechter oder gar nicht an Erythrozyten gebunden, da diese zwar den Komplementrezeptor CR1, jedoch keine Fc-Rezeptoren haben. Dies führt zu einem verminderten Abbau kleiner Immunkomplexe. Diese freien Komplexe neigen dazu, sich an den Basalmembranen kleiner Gefäße abzulagern. Mastzellen können solche Komplexe binden (über FcγRIII) und dadurch aktiviert werden. Die TNFα-Freisetzung durch so aktivierte Mastzellen gilt als Hauptursache für die folgenden Entzündungsreaktionen (WATANABE et al. 1999; BAUMANN et al. 2001), da hierdurch Leukozyten in das Entzündungsgebiet gelockt werden. Über eine Verknüpfung von Fc-Rezeptoren und Komplementrezeptoren auf Leukozyten werden diese aktiviert und lösen im Folgenden eine Schädigung des umliegenden Gewebes aus. Ein klassisches Beispiel für die Typ III-Allergie ist die so genannte „Serumkrankheit“, die heute noch bei der Anti-Venin-Behandlung eine Rolle spielt. Serum von Pferden, die zuvor mit Schlangengift immunisiert wurden, dient dabei als Quelle für neutralisierende Antikörper bei der Behandlung von Schlangenbissen beim Menschen. Injizierte Bestandteile, insbesondere die Antikörper aus dem Pferdeserum, lösen eine adaptive Immunantwort des Empfängers mit Bildung anti equiner Antikörper aus, die bei wiederholter Applikation eines solchen Serums zur Immunkomplexbildung mit den zirkulierenden Antigenen führt. Diese massive Bildung von Immunkomplexen führt zu deren Ablagerung in Gefäßen, Nieren und Gelenken und somit zu autoagressiven Vasculitiden, Glomerulonephritis und Arthritiden. Auch Autoimmunerkrankungen können nach diesem Mechanismus ablaufen, z.B. bei der gemischten essentiellen Kryoglobulinämie (Antikörper gegen körpereigene Immunglobuline) oder dem systemischen Lupus erythematodes mit Bildung von ANA´s (Anti Nukleäre Antikörper: Antikörper gegen u.a. körpereigene Zellkernbestandteile wie DNS, Histonen oder anderen Nukleoproteinen). |
Selbsterklärend. |
|
| [6.] Ad/Fragment 020 01 - Diskussion Zuletzt bearbeitet: 2014-07-08 17:50:00 Hindemith | Ad, Fragment, Gesichtet, KomplettPlagiat, Rohwer 2004, SMWFragment, Schutzlevel sysop |
|
|
| Untersuchte Arbeit: Seite: 20, Zeilen: 1ff (komplett) |
Quelle: Rohwer 2004 Seite(n): 30-31, Zeilen: 30: 20ff - 31: 1ff |
|---|---|
| [Auch Autoimmunerkrankungen können nach diesem Mechanismus ablaufen, z.B. bei der gemischten essentiellen Kryoglobulinämie (Antikörper gegen körpereigene Immunglobuline) oder dem systemischen Lupus erythematodes mit Bildung von ANA´s (Anti Nukleäre] Antikörper: Antikörper gegen u.a. körpereigene Zellkernbestandteile wie DNS, Histonen oder anderen Nukleoproteinen).
Letztlich besteht noch die Möglichkeit, dass Antikörper, ohne Beteiligung von Fcvermittelten Sekundärreaktionen allein durch ihre spezifische Bindung zur Erkrankung führen (Typ V-Reaktionen). Unter physiologischen Umständen erfüllen Antikörper neben ihrer vermittelnden Rolle im Rahmen der Opsonisierung und Komplementaktivierung auch ohne Beteiligung weiterer Faktoren, bestimmte Funktionen. So sind sie wichtig zur Neutralisation z.B. von Toxinen, oder beeinflussen über ihre Bindung an zellständige Rezeptoren z.B. die Produktion von weiteren Antikörpern. Bei einer Typ V Allergie können die im Rahmen von Infektionen gebildeten Antikörper mit körpereigenen Strukturen, z.B. Rezeptoren kreuzreagieren und diese z.B. stimulieren (TSH-Rezeptoren bei Basedow-Krankheit) oder blockieren (Acetylcholinrezeptoren bei Myasthenia gravis). Auch in der Zellvermittelten [sic] Immunantwort (Typ IV Immunmechanismus) kann es, ohne Beteiligung von Immunglobulinen, zu Störungen im Sinne von Allergie oder Autoaggression kommen. Wird ein Antigen von den antigenpräsentierenden Zellen hierbei über MHC-Klasse II an der Zelloberfläche gezeigt, werden dadurch CD-4-T-Zellen (T-Helferzellen) angesprochen. Pathogen- und milieuabhängig können sich die CD-4-Zellen daraufhin in mindestens zwei Richtungen, TH1 oder TH2, differenzieren und im Weiteren anhand der Sekretion charakteristischer Zytokine und Chemokine z.B. Makrophagen aktivieren und B-Zellen zur IgG-Produktion anregen (TH1) oder z.B. durch Einfluss auf die Differenzierung antigenaktivierter B-Zellen eine v.a. antikörpervermittelte Immunantwort auslösen (TH2). Im Verlauf von Überempfindlichkeitsreaktionen vom Typ IV erfolgt die Differenzierung der T-Helferzellen zu TH1-Zellen, bei Typ I-Allergien zu TH2. Altbekanntes Beispiel einer T-Zell vermittelten Allergie ist die Tuberkulinreaktion, aber auch Kontaktallergien, z.B. auf Pentadecacatechol, einer Substanz aus den Blättern des Gift-Sumach oder Metallionen, wie Nickel und Chrom fallen unter diese Kategorie. Eine Autoimmunerkrankung, die diesem Mechanismus folgt ist z.B. die gegen das basische Myelinprotein (MBP) gerichtete autoaggressive Reaktion, die zur multiplen Sklerose führt. Wird ein Antigen über MHC-Klasse I präsentiert, reagieren darauf CD-8-Zellen und differenzieren unter dem regulierenden Einfluss von T-Helferzellen zu zytotoxischen T-Zellen aus. Diese töten zum einen diese antigenpräsentierenden Zellen ab, können aber auch Zytokine sezernieren, die u.a. Makrophagen anlocken und aktivieren (IFNγ, TNFα, TNFβ). |
Auch Autoimmunerkrankungen können nach diesem Mechanismus ablaufen, z.B. bei der gemischten essentiellen Kryoglobulinämie (Antikörper gegen körpereigene Immunglobuline) oder dem systemischen Lupus erythematodes mit Bildung von ANA´s (Anti Nukleäre Antikörper: Antikörper gegen u.a. körpereigene Zellkernbestandteile wie DNS, Histonen oder anderen Nukleoproteinen).
Letztlich besteht noch die Möglichkeit, dass Antikörper, ohne Beteiligung von Fcvermittelten Sekundärreaktionen allein durch ihre spezifische Bindung zur Erkrankung führen (Typ V-Reaktionen). Unter physiologischen Umständen erfüllen Antikörper neben ihrer vermittelnden Rolle im Rahmen der Opsonisierung und Komplementaktivierung auch ohne Beteiligung weiterer Faktoren, bestimmte Funktionen. So sind sie wichtig zur Neutralisation z.B. von Toxinen, oder beeinflussen über ihre Bindung an zellständige Rezeptoren z.B. die Produktion von weiteren Antikörpern. Bei einer Typ V Allergie können die im Rahmen von Infektionen gebildeten Antikörper mit körpereigenen Strukturen, z.B. Rezeptoren kreuzreagieren und diese z.B. stimulieren (TSH-Rezeptoren bei Basedow-Krankheit) oder blockieren (Acetylcholinrezeptoren bei Myasthenia gravis). [Seite 31] Auch in der Zell vermittelten [sic] Immunantwort (Typ IV Immunmechanismus) kann es, ohne Beteiligung von Immunglobulinen, zu Störungen im Sinne von Allergie oder Autoaggression kommen. Wird ein Antigen von den antigenpräsentierenden Zellen hierbei über MHC-Klasse II an der Zelloberfläche gezeigt, werden dadurch CD-4-T-Zellen (T-Helferzellen) angesprochen. Pathogen- und milieuabhängig können sich die CD-4-Zellen daraufhin in mindestens zwei Richtungen, TH1 oder TH2, differenzieren und im Weiteren anhand der Sekretion charakteristischer Zytokine und Chemokine z.B. Makrophagen aktivieren und B-Zellen zur IgG-Produktion anregen (TH1) oder z.B. durch Einfluss auf die Differenzierung antigenaktivierter B-Zellen eine v.a. antikörpervermittelte Immunantwort auslösen (TH2). Im Verlauf von Überempfindlichkeitsreaktionen vom Typ IV erfolgt die Differenzierung der T-Helferzellen zu TH1-Zellen, bei Typ I-Allergien zu TH2. Altbekanntes Beispiel einer T-Zell vermittelten Allergie ist die Tuberkulinreaktion, aber auch Kontaktallergien, z.B. auf Pentadecacatechol, einer Substanz aus den Blättern des Gift-Sumach oder Metallionen, wie Nickel und Chrom fallen unter diese Kategorie. Eine Autoimmunerkrankung, die diesem Mechanismus folgt ist z.B. die gegen das basische Myelinprotein (MBP) gerichtete autoaggressive Reaktion, die zur multiplen Sklerose führt. Wird ein Antigen über MHC-Klasse I präsentiert, reagieren darauf CD-8-Zellen und differenzieren unter dem regulierenden Einfluss von T-Helferzellen zu zytotoxischen T-Zellen aus. Diese töten zum einen diese antigenpräsentierenden Zellen ab, können aber auch Zytokine sezernieren, die u.a. Makrophagen anlocken und aktivieren (IFNγ, TNFα, TNFβ). |
Selbsterklärend. |
|
| [7.] Ad/Fragment 021 01 - Diskussion Zuletzt bearbeitet: 2014-07-08 17:49:57 Hindemith | Ad, Fragment, Gesichtet, Rohwer 2004, SMWFragment, Schutzlevel sysop, Verschleierung |
|
|
| Untersuchte Arbeit: Seite: 21, Zeilen: 1ff (komplett) |
Quelle: Rohwer 2004 Seite(n): 31-32, Zeilen: 31: 22ff - 32: 1ff |
|---|---|
| Lipidlösliche Allergene, wie Pentadecacatechol können über diesen Weg eine Gewebsschädigung verursachen, da sie die Zellmembran durchqueren können und Proteine im Zellinneren verändern. Als Peptide gelangen diese dann über das endoplasmatische Reticulum und MHC-Klasse I-Moleküle an die Zelloberfläche, wo sie von CD-8-Zellen erkannt werden. (JANEWAY & TRAVERS 2002)
Diese hier beschriebene Klassifikation der Immunmechanismen (Typ I-V) wurde in die Veterinärmedizin übernommen, obwohl sie sich größtenteils auf Untersuchungen im humanen und murinen System stützt. In wie weit sich die zu Grunde liegenden Immunmechanismen auf andere Spezies, insbesondere auf das Pferd, in allen Einzelaspekten transponieren lassen, ist heute in weiten Teilen noch ungeklärt. 2.2 Das Sommerekzem – eine Typ-I-Allergie des Pferdes Das Interesse an der Typ I Allergie wuchs, als die Häufigkeit dieser Erkrankung beim Menschen zunahm. Lange bevor die immunologischen Grundlagen einer Typ I Allergie erkannt wurden, berichteten französische Pferdehalter um 1840 von einer saisonal auftretenden Dermatitis (Lecoq 1842/43, Ref. in UNKEL 1985). Zu dieser Zeit war das Sommerekzem in Indien ebenfalls bereits bekannt (DATTA, 1939, Ref. in UNKEL 1985). Mittlerweile liegen vergleichbare symptomatische Beschreibungen aus allen Teilen der Welt vor, wenn auch mit den verschiedensten Bezeichnungen versehen (sweet itch, queensland itch, ardeurs, dermite estivale recidivante, Kasen). Dabei wird von erkrankten Pferden der verschiedensten Rassen berichtet. Araber scheinen ebenso betroffen zu sein, wie z.B. Quarter Horse, englische Vollblüter, deutsches Kaltblut, Haflinger oder Islandpferde. Sogar bei Eseln und Maultieren wird das Sommerekzem beschrieben. Eine eindeutige Rassendisposition besteht dabei nicht. Islandpferde stellen jedoch in Deutschland eine der stärker betroffenen Rassen dar. Die Erkrankungshäufigkeit dieser Rasse wird in verschiedenen Untersuchungen zwischen 15% und 20%, für aus Island exportiere Tiere auf fast 25% geschätzt (UNKEL 1985). Andere berichten von bis zu 60-70% Erkrankungsrate exportierter Tiere (RÜSBÜLDT 1997) sowie persönliche Mitteilungen isländischer Pferdezüchter). Dies erklärt die enorme wirtschaftliche Bedeutung des Sommerekzems speziell für die isländische Landwirtschaft, deren Exportquoten seit Mitte der achtziger Jahre, nach bekannt werden dieser Zusammenhänge, dramatisch sanken. (UNKEL 1985). |
Lipidlösliche Allergene, wie Pentadecacatechol können über diesen Weg eine Gewebsschädigung verursachen, da sie die Zellmembran durchqueren können und Proteine im Zellinneren verändern. Als Peptide gelangen diese dann über das endoplasmatische Reticulum und MHC-Klasse I-Moleküle an die Zelloberfläche, wo sie von CD-8-Zellen erkannt werden. (JANEWAY und TRAVERS 2002)
Diese hier beschriebene Klassifikation der Immunmechanismen (Typ I-V) wurde in die Veterinärmedizin übernommen, obwohl sie sich größtenteils auf Untersuchungen im humanen und murinen System stützt. In wie weit sich die zu Grunde liegenden Immunmechanismen auf andere Spezies, insbesondere auf das Pferd, in allen Einzelaspekten transponieren lassen, ist heute in weiten Teilen noch ungeklärt [Seite 32] 2.2.2 Die saisonal rekurrierende atopische Dermatitis des Pferdes – das Sommerekzem Das Interesse an der Typ I Allergie wuchs, als die Häufigkeit dieser Erkrankung beim Menschen zunahm. Lange bevor die immunologichen [sic] Grundlagen einer Typ I Allergie erkannt wurden, berichteten französische Pferdehalter um 1840 von einer saisonal auftretenden Dermatitis (Lecoq 1842/43, Ref. in: UNKEL 1985). Zu dieser Zeit war das Sommerekzem in Indien ebenfalls bereits bekannt (DATTA, 1939, Ref. in: UNKEL 1985). Mittlerweile liegen vergleichbare symptomatische Beschreibungen aus allen Teilen der Welt vor, wenn auch mit den verschiedensten Bezeichnungen versehen (sweet itch, queensland itch, ardeurs, dermite estivale recidivante, Kasen). Dabei wird von erkrankten Pferden der verschiedensten Rassen berichtet. Araber scheinen ebenso betroffen zu sein, wie z.B. Quarter Horse, englische Vollblüter, deutsches Kaltblut, Haflinger oder Islandpferde. Sogar bei Eseln und Maultieren wird das Sommerekzem beschrieben. Eine eindeutige Rassendisposition besteht dabei nicht. Islandpferde stellen jedoch in Deutschland eine der stärker betroffenen Rassen dar. Die Erkrankungshäufigkeit dieser Rasse wird in verschiedenen Untersuchungen zwischen 15% und 20%, für aus Island exportiere Tiere auf fast 25% geschätzt (UNKEL 1985). Andere berichten von bis zu 60-70% Erkrankungsrate exportierter Tiere (RÜSBÜLDT 2001 sowie persönliche Mitteilungen isländischer Pferdezüchter). Dies erklärt die enorme wirtschaftliche Bedeutung des Sommerekzems speziell für die isländische Landwirtschaft, deren Exportquoten seit Mitte der achtziger Jahre, nach bekannt werden dieser Zusammenhänge, dramatisch sanken. (UNKEL 1985, HECK 1991) |
Kleine Änderungen bei den Literaturangaben |
|
| [8.] Ad/Fragment 022 01 - Diskussion Zuletzt bearbeitet: 2014-07-08 17:49:54 Hindemith | Ad, Fragment, Gesichtet, KomplettPlagiat, Rohwer 2004, SMWFragment, Schutzlevel sysop |
|
|
| Untersuchte Arbeit: Seite: 22, Zeilen: 1ff (komplett) |
Quelle: Rohwer 2004 Seite(n): 32-33, Zeilen: 43: 22ff - 33: 1ff |
|---|---|
| Durch eine Studie an Islandpferden im Rheinland konnte gezeigt werden, dass das Sommerekzem multifaktoriell vererbt wird. Dabei wird allerdings eine Heritabilität von nur etwa 10% angenommen, wobei der Einfluss der Stute hier unerklärlicherweise größer sein soll scheint, als der des Hengstes. Eine Disposition bezüglich Fellfarbe oder Geschlecht, wie von anderen Autoren vormals postuliert, konnte hier nicht nachgewiesen werden (UNKEL 1985). Dass es sich beim Sommerekzem um eine allergische Reaktion auf Stiche bestimmter blutsaugender Insekten handelt, wurde schon 1954 von RIECK aufgrund von Untersuchungen in Australien geschlossen. Heute gilt es als gesichert, dass insbesondere Culicoides spp. (Gnitzen) weltweit als die bevorzugten Auslöser anzusehen sind. Aber auch anderen Insektenarten wird eine gewisse Bedeutung zugewiesen, z.B. Stomoxis calcitrans und Simuliden spp. (HECK 1991). So wiesen BAKER und QUINN (1978) nach, dass auf die intradermale Applikation von Extrakten aus Culicoides, Stomoxis calcitrans bzw. Tabanidae alle sieben untersuchten Pferde bei Culicoides und drei der Tiere ebenfalls bei Stomoxis calcitrans mit einem subepidermalen Ödem und begrenzter Eosinophilie reagieren, ähnlich dem histopathologischen Bild des Sommerekzems. Der Versuch, die für das Sommerekzem verantwortlichen Allergene von Culicoides genauer zu identifizieren, indem aufgetrennte Fraktionen für intradermale Hauttests eingesetzt wurden, gelang nicht (MORROW et al. 1986). QUINN et al.. (1983) konnten die Reaktionsbereitschaft der Haut auf Culicoides Extrakte über das Serum erkrankter Tiere auf gesunde Pferde übertragen. Dies bestärkte den Verdacht, dass es sich beim Sommerekzem um eine Typ I Allergie handelt. Dies folgerten auch STROTHMANN-LÜERSSEN et al. (1992), die, in Übereinstimmung zur Flohbissallergie des Hundes und der saisonalen allergischen Dermatitis des Schafes, bei histologischen und biochemischen Untersuchungen von an Sommerekzem erkrankten Pferden sowohl eine Infiltration von eosinophilen Granulozyten, als auch einen Anstieg von entzündungs- und allergiespezifischen Leukotrienen in den veränderten Hautbereichen fanden. Die Ansammlung eosinophiler und neutrophiler Granulozyten und die Ödembildung nach intradermaler Applikation von Culicoides Extrakt kann zudem durch die Histamin-1Rezeptor Antagonisten Chlorphenamin und Mepyramin gehemmt werden (FOSTER et al. 1997) Zudem konnte in vitro gezeigt werden, dass auch bei Equiden eine phänotypische Differenzierung von TH1 und TH2 Zellen möglich ist, also entsprechend dem humanen System eine Immundeviation mittels Zytokinen auch in vivo als möglich gelten darf (AGGARWAL 1999). | Durch eine Studie an Islandpferden im Rheinland konnte gezeigt werden, dass das Sommerekzem multifaktoriell vererbt wird. Dabei wird allerdings eine Heritabilität von nur etwa 10% angenommen, wobei der Einfluss der Stute hier unerklärlicherweise größer zu sein scheint, als der des Hengstes. Eine Disposition bezüglich Fellfarbe oder Geschlecht, wie von anderen Autoren vormals postuliert, konnte hier nicht nachgewiesen werden (UNKEL 1985).
Dass es sich beim Sommerekzem um eine allergische Reaktion auf Stiche bestimmter Blut saugender Insekten handelt, wurde schon 1954 von RIECK aufgrund von Untersuchungen in Australien geschlossen. Heute gilt es als gesichert, dass insbesondere Culicoides spp. (Gnitzen) weltweit als die bevorzugten Auslöser anzusehen sind. Aber auch anderen Insektenarten wird eine gewisse Bedeutung zugewiesen, z.B. Stomoxis calcitrans und Simuliden spp. (HECK 1991). So wiesen BAKER und QUINN (1978) nach, dass auf die intradermale Applikation von Extrakten aus Culicoides, Stomoxis calcitrans bzw. Tabanidae alle sieben untersuchten Pferde bei Culicoides und drei der Tiere ebenfalls bei Stomoxis [Seite 33] calcitrans mit einem subepidermalen Ödem und begrenzter Eosinophilie reagieren, ähnlich dem histopathologischen Bild des Sommerekzems. Der Versuch, die für das Sommerekzem verantwortlichen Allergene von Culicoides genauer zu identifizieren, indem aufgetrennte Fraktionen für intradermale Hauttests eingesetzt wurden, gelang nicht (MORROW et al. 1986). QUINN et al. (1983) konnten die Reaktionsbereitschaft der Haut auf Culicoides Extrakte über das Serum erkrankter Tiere auf gesunde Pferde übertragen. Dies bestärkte den Verdacht, dass es sich beim Sommerekzem um eine Typ I Allergie handelt. Dies folgerten auch STROTHMANN-LÜERSSEN et al. (1992), die, in Übereinstimmung zur Flohbissallergie des Hundes und der saisonalen allergischen Dermatitis des Schafes, bei histologischen und biochemischen Untersuchungen von an Sommerekzem erkrankten Pferden sowohl eine Infiltration von eosinophilen Granulozyten, als auch einen Anstieg von entzündungs- und allergiespezifischen Leukotrienen in den veränderten Hautbereichen fanden. Die Ansammlung eosinophiler und neutrophiler Granulozyten und die Ödembildung nach intradermaler Applikation von Culicoides Extrakt kann zudem durch die Histamin-1Rezeptor Antagonisten Chlorphenamin und Mepyramin gehemmt werden (FOSTER et al. 1997). Zudem konnte in vitro gezeigt werden, dass auch bei Equiden eine phänotypische Differenzierung von TH1 und TH2 Zellen möglich ist, also entsprechend dem humanen System eine Immundeviation mittels Zytokinen auch in vivo als möglich gelten darf (AGGARWAL & HOLMES 2000; AGGARWAL und HOLMES 1999). |
Selbsterklärend. |
|
| [9.] Ad/Fragment 023 01 - Diskussion Zuletzt bearbeitet: 2014-07-08 17:49:50 Hindemith | Ad, Fragment, Gesichtet, KomplettPlagiat, Rohwer 2004, SMWFragment, Schutzlevel sysop |
|
|
| Untersuchte Arbeit: Seite: 23, Zeilen: 1ff (komplett) |
Quelle: Rohwer 2004 Seite(n): 33, 34, 35, Zeilen: 33: 33ff - 34: 1ff, 35: 1ff |
|---|---|
| Zur klinischen Ausprägung des Ekzems kommt es nach UNKEL (1985) bei über 80% der untersuchten Islandpferde innerhalb der ersten drei Lebensjahre, 94% der späteren Sommerekzemer entwickeln bis zur Vollendung ihres vierten Lebensjahres erstmals Symptome. Fohlen allerdings zeigen nahezu nie Anzeichen der Erkrankung, obwohl z.T. schon bei Fohlen und Jährlingen eine Sensibilisierung basophiler Granulozyten nachgewiesen werden konnte (KOBELT 2001). Bei isländischen Importpferden kommt es nach Untersuchungen aus Norwegen frühestens im zweiten Sommer nach Import, im Durchschnitt nach etwa vier Jahren, zu ersten klinischen Ausprägungen (HALLDORSDOTTIR & LARSEN 1991).
Eine kausale Therapie des Sommerekzems und damit der Typ I Allergie existiert bisher nicht. Versuche zur Hyposensibilisierung Culicoides-allergischer Pferde scheinen Erfolg versprechend (ANDERSON et al. 1996). Da das Allergen bisher nicht in aufgereinigter Form vorliegt und die Major Allergens erst bestimmt werden müssen, wird hierzu ein grober Gesamtextrakt der Mücke verwendet. Dieser birgt jedoch das Risiko, dass Immunreaktionen, insbesondere Allergien gegen andere als die spezifischen allergenen Bestandteile des Extraktes durch die Behandlung ausgelöst werden. Zieht man zudem in Betracht, dass ein großer Teil der Allergiker gegen mehr als nur ein Allergen sensibilisiert ist und somit prinzipiell gegen eine Reihe von Allergenen hyposensibilisiert werden müsste, werden die praktischen Grenzen dieser Therapieform deutlich. Einen weiten Überblick über die von Tierärzten und Patientenbesitzern verwendeten (symptomatischen) Therapeutika gibt (RÜSBÜLDT 2001): So werden neben der äußerlichen Anwendung verschiedenster Fette und Öle und Insektenrepellents, u. a. Cortikoide oder Antihistaminika zur Immunsuppression eingesetzt, aber auch Homöopathika, Eigenblutbehandlungen und ihre Variationen, Bioresonanz oder biologisch aktive Peptide. BRÜNNLEIN (2001) konnte in ihren Untersuchungen zum Sommerekzem keinen dauerhaften und zuverlässigen Einfluss der weit verbreiteten Therapien mit Ökozon, Allergostop® I (Gegensensibilisierung nach Theurer) oder Insol® Dermatophyton auf die generelle oder Culicoides-spezifische Sensibilisierung nachweisen. Erfolgversprechend bleibt bisher alleine eine möglichst weitreichende Allergenkarenz (Ekzemerdecken, Verbringen der Tiere in mückenfreie, bzw. arme Umgebung). Allerdings bedeutet auch dies keine Heilung der Allergie, sondern nur ein Verhindern der klinischen Symptome. Selbst nach bis zu fünfzehn Jahren Symptomfreiheit, erreicht durch Verbringen von sommerekzemkranken Tiere auf die Nordseeinsel Spiekeroog -die Gnitzen sind auf den [ostfriesischen Inseln auf Grund der ganzjährigen Westwinddrift nicht endemisch-, blieb die spezifische Sensibilisierung deutlich bestehen (KOBELT 2001).] |
Zur klinischen Ausprägung des Ekzems kommt es nach UNKEL (1985) bei über 80% der untersuchten Islandpferde innerhalb der ersten drei Lebensjahre, 94% der späteren Sommerekzemer entwickeln bis zur Vollendung ihres vierten Lebensjahres erstmals Symptome. Fohlen allerdings zeigen nahezu nie Anzeichen der Erkrankung, obwohl z.T.
[Seite 34] schon bei Fohlen und Jährlingen eine Sensibilisierung basophiler Granulozyten nachgewiesen werden konnte (KOBELT, 2001). Bei isländischen Importpferden kommt es nach Untersuchungen aus Norwegen frühestens im zweiten Sommer nach Import, im Durchschnitt nach etwa vier Jahren, zu ersten klinischen Ausprägungen (HALLDORSDOTTIR & LARSEN 1991). [...] Eine kausale Therapie des Sommerekzems und damit der Typ I Allergie existiert bisher nicht. Versuche zur Hyposensibilisierung Culicoides-allergischer Pferde scheinen Erfolg versprechend (ANDERSON et al. 1996). Da das Allergen bisher nicht in aufgereinigter Form vorliegt und die Major Allergens erst bestimmt werden müssen, wird hierzu ein grober Gesamtextrakt der Mücke verwendet. Dieser birgt jedoch das Risiko, dass Immunreaktionen, [Seite 35] insbesondere Allergien gegen andere als die spezifischen allergenen Bestandteile des Extraktes durch die Behandlung ausgelöst werden. Zieht man zudem in Betracht, dass ein großer Teil der Allergiker gegen mehr als nur ein Allergen sensibilisiert ist und somit prinzipiell gegen eine Reihe von Allergenen hyposensibilisiert werden müsste, werden die praktischen Grenzen dieser Therapieform deutlich. Einen weiten Überblick über die von Tierärzten und Patientenbesitzern verwendeten (symptomatischen) Therapeutika gibt RÜSBÜLDT (2001): So werden neben der äußerlichen Anwendung verschiedenster Fette und Öle und Insektenrepellents, u. a. Cortikoide oder Antihistamininka zur Immunsuppression eingesetzt, aber auch Homöopathika, Eigenblutbehandlungen und ihre Variationen, Bioresonanz oder biologisch aktive Peptide. BRÜNNLEIN (2001) konnte in ihren Untersuchungen zum Sommerekzem keinen dauerhaften und zuverlässigen Einfluss der weit verbreiteten Therapien mit Ökozon, Allergostop® I (Gegensensibilisierung nach Theurer) oder Insol®Dermatophyton auf die generelle oder Culicoides-spezifische Sensibilisierung nachweisen. Erfolg versprechend bleibt bisher alleine eine möglichst weitreichende Allergenkarenz (Ekzemerdecken, Verbringen der Tiere in mückenfreie, bzw. arme Umgebung). Allerdings bedeutet auch dies keine Heilung der Allergie, sondern nur ein Verhindern der klinischen Symptome. Selbst nach bis zu fünfzehn Jahren Symptomfreiheit, erreicht durch Verbringen von sommerekzemkranken Tiere auf die Nordseeinsel Spiekeroog -die Gnitzen sind auf den ostfriesischen Inseln auf Grund der ganzjährigen Westwinddrift nicht endemisch-, blieb die spezifische Sensibilisierung deutlich bestehen (KOBELT 2001). |
Selbsterklärend. |
|
| [10.] Ad/Fragment 024 01 - Diskussion Zuletzt bearbeitet: 2014-07-08 17:49:38 Hindemith | Ad, Fragment, Gesichtet, KomplettPlagiat, Rohwer 2004, SMWFragment, Schutzlevel sysop |
|
|
| Untersuchte Arbeit: Seite: 24, Zeilen: 1-4 |
Quelle: Rohwer 2004 Seite(n): 35, Zeilen: 18-23 |
|---|---|
| [Selbst nach bis zu fünfzehn Jahren Symptomfreiheit, erreicht durch Verbringen von sommerekzemkranken Tiere auf die Nordseeinsel Spiekeroog -die Gnitzen sind auf den] ostfriesischen Inseln auf Grund der ganzjährigen Westwinddrift nicht endemisch-, blieb die spezifische Sensibilisierung deutlich bestehen (KOBELT 2001) Auch nach dieser langen Zeit hätte also ein erneuter Allergenkontakt den klinischen Ausbruch des Sommerekzems zur Folge. | Selbst nach bis zu fünfzehn Jahren Symptomfreiheit, erreicht durch Verbringen von sommerekzemkranken Tiere auf die Nordseeinsel Spiekeroog -die Gnitzen sind auf den ostfriesischen Inseln auf Grund der ganzjährigen Westwinddrift nicht endemisch-, blieb die spezifische Sensibilisierung deutlich bestehen (KOBELT 2001). Auch nach dieser langen Zeit hätte also ein erneuter Allergenkontakt den klinischen Ausbruch des Sommerekzems zur Folge. |
Selbsterklärend. |
|
| [11.] Ad/Fragment 035 04 - Diskussion Zuletzt bearbeitet: 2014-07-10 01:08:11 Hindemith | Ad, Fragment, Gesichtet, KomplettPlagiat, Rohwer 2004, SMWFragment, Schutzlevel sysop |
|
|
| Untersuchte Arbeit: Seite: 35, Zeilen: 4-27 |
Quelle: Rohwer 2004 Seite(n): 37, Zeilen: 1 ff. |
|---|---|
| 2.8.1 Definitionen und Einsatzmöglichkeiten
Das Konzept der Immunstimulation erstellte Dr. William B. Coley 1907. Er bemerkte spontane Tumorregressionen bei einigen seiner Patienten nach Septikämie. Aus dieser Beobachtung heraus entwickelte er ein Gemisch von Bakterientoxinen (Coley´s Toxin), welches er zur Krebstherapie einsetzte (RUSH 2001). A. MAYR (ROLLE & MAYER 1993) führte den Begriff der „Paramunisierung“ ein. Damit bezeichnete er zunächst begleitende, Antigen unspezifische Wirkungen von Schutzimpfungen, deren funktionelle Mechanismen er fast durchweg den angeborenen Immunmechanismen (Phagozytose, ADCC, Bildung von Interferon, Aktivierung des Komplementsystems, hormonelle Interaktionen) zurechnete. Die „Paramunisierung“ sei allerdings auf die „noch vorhandene Funktionsfähigkeit des Immunsystems und seiner Zellen angewiesen“. Es soll durch die Paramunität ein schnell einsetzender (wenige Stunden), aber nur kurz anhaltender (einige Tage) Schutz des Individuums erreicht werden; ein Boostereffekt soll nicht zustande kommen. TIZARD (1993) definiert Immunstimulanzien durch ihre Fähigkeit, nicht-antigenspezifische humorale und auch zellvermittelte Abwehrmechanismen zu fördern. Dies wird seiner Ansicht nach durch Makrophagen vermittelt, die durch die Phagozytose der Immunstimulanspartikel aktiviert werden und daraufhin bestimmte Zytokine (Interferon, Interleukin 1, Tumornekrosefaktor und/oder Interleukin 6 freisetzen und so zu einer Steigerung der Phagozytoseaktivität, der Antikörperproduktion und der Zytotoxizität führen. RUSH (2001) postuliert, dass immunstimulatorische Therapien v.a. bei chronischen oder rezidivierenden Infektionen wirken, da hier eine Immunsuppression oder –toleranz vorläge. Für wenig sinnvoll hält er ihren Einsatz bei akuten Infektionen, da dort das Immunsystem schon maximal stimuliert sei. |
2.3.1 Definitionen und Einsatzmöglichkeiten
Das Konzept der Immunstimulation erstellte Dr. William B. Coley 1907. Er bemerkte spontane Tumorregressionen bei einigen seiner Patienten nach Septikämie. Aus dieser Beobachtung heraus entwickelte er ein Gemisch von Bakterientoxinen (Coley´s Toxin), welches er zur Krebstherapie einsetzte. (RUSH 2001) A. MAYR (ROLLE & MAYER 1993) führte den Begriff der „Paramunisierung“ ein. Damit bezeichnete er zunächst begleitende, Antigen unspezifische Wirkungen von Schutzimpfungen, deren funktionelle Mechanismen er fast durchweg den angeborenen Immunmechanismen (Phagozytose, ADCC, Bildung von Interferon, Aktivierung des Komplementsystems, hormonelle Interaktionen) zurechnete. Die „Paramunisierung“ sei allerdings auf die „noch vorhandene Funktionsfähigkeit des Immunsystems und seiner Zellen angewiesen“. Es soll durch die Paramunität ein schnell einsetzender (wenige Stunden), aber nur kurz anhaltender (einige Tage) Schutz des Individuums erreicht werden; ein Boostereffekt soll nicht zustande kommen. TIZARD (1993) definiert Immunstimulantien durch ihre Fähigkeit, nicht-antigenspezifische humorale und auch zellvermittelte Abwehrmechanismen zu fördern. Dies wird seiner Ansicht nach durch Makrophagen vermittelt, die durch die Phagozytose der Immunstimulanspartikel aktiviert werden und daraufhin bestimmte Zytokine (Interferon, Interleukin 1, Tumornekrosefaktor und/oder Interleukin 6) freisetzten und so zu einer Steigerung der Phagozytoseaktivität, der Antikörperproduktion und der Zytotoxizität führen. RUSH (2001) postuliert, dass immunstimulatorische Therapien v.a. bei chronischen oder rezidivierenden Infektionen wirken, da hier eine Immunsuppression oder –toleranz vorläge. Für wenig sinnvoll hält er ihren Einsatz bei akuten Infektionen, da dort das Immunsystem schon maximal stimuliert sei. |
Kein Hinweis auf die Quelle. |
|
| [12.] Ad/Fragment 083 01 - Diskussion Zuletzt bearbeitet: 2014-07-08 17:55:20 Hindemith | Ad, Fragment, Gesichtet, Rohwer 2004, SMWFragment, Schutzlevel sysop, Verschleierung |
|
|
| Untersuchte Arbeit: Seite: 83, Zeilen: 1-14 |
Quelle: Rohwer 2004 Seite(n): 55, 56, Zeilen: 55:19-26; 56:1-7 |
|---|---|
| 3.2.9 Tiere
Für die Untersuchungen standen neben Einsendungen von Blutproben von Patientenbesitzern eine Herde aus 37 Isländerstuten im Alter zwischen 3 und 11 Jahren zur Verfügung. Unter gleichen Haltungsbedingungen waren 14 an Sommerekzem erkrankte, 9 gesunde und 3 Jungtiere mit noch unbekanntem Status untergebracht. An den Probanden wurde eine Beurteilung der klinischen Symptome und deren Entwicklung im Jahresverlauf vorgenommen. Zu den Arbeiten am Tier gehören die Herdenkontrolle des Gesundheitszustandes, sowie die regelmäßige Entnahme von Blutproben. 3.3 Methoden 3.3.1 Blutentnahme Die Blutentnahme zur Gewinnung und Untersuchung von Leukozyten in vitro erfolgte unter keimarmen Bedingungen mit einem Vacutainersystem (s.3.2.1) durch Punktion der rechten oder linken Vena jugularis. Das Blut wurde in Vacutainerröhrchen aufgenommen und bis zur Verarbeitung, die maximal 24 Stunden nach Entnahme erfolgte, bei Raumtemperatur gelagert. |
[Seite 55]
3.2.8 Tiere Für die Untersuchungen steht neben Einsendungen von Blutproben von Patientenbesitzern eine Herde aus 37 Isländerstuten im Alter zwischen 3 und 11 Jahren zur Verfügung. Unter gleichen Haltungsbedingungen sind 14 an Sommerekzem erkrankte, 9 gesunde und 3 Jungtiere mit noch unbekanntem Status untergebracht (Datenerhebung: Besitzerinformation und FIT, s. 3.3.9). An den Probanden wird eine Beurteilung der klinischen Symptome und deren Entwicklung im Jahresverlauf vorgenommen. Zu den Arbeiten am Tier gehören die Herdenkontrolle des Gesundheitszustandes, sowie die regelmäßige Entnahme von Blutproben. [Seite 56] 3.3 Methoden 3.3.1 Blutentnahme Die Blutentnahme zur Gewinnung und Untersuchung von Leukozyten in vitro erfolgte unter keimarmen Bedingungen mit einem Vacutainersystem (s. 3.2.1) durch Punktion der rechten oder linken Vena jugularis. Das Blut wurde in Ka-EDTA Vacutainerröhrchen aufgenommen und bis zur Verarbeitung, die maximal 24 Stunden nach Entnahme erfolgte, bei Raumtemperatur gelagert. |
Ohne Hinweis auf eine Übernahme. |
|
| [13.] Ad/Fragment 087 04 - Diskussion Zuletzt bearbeitet: 2014-07-08 17:55:24 Hindemith | Ad, Fragment, Gesichtet, Rohwer 2004, SMWFragment, Schutzlevel sysop, Verschleierung |
|
|
| Untersuchte Arbeit: Seite: 87, Zeilen: 4-26 |
Quelle: Rohwer 2004 Seite(n): 70, Zeilen: 10-32 |
|---|---|
| 3.3.3 Durchflusszytometrie
In einem Durchflusszytometer (s.3.1) werden Einzelzellen in einem Probenführungssystem an einem Laserstrahl vorbei geleitet. Gestreutes Licht einer Wellenlänge (hier 488 nm) wird in Richtung des Strahls als so genanntes Vorwärtsstreulicht (Forward Scatter, FSC) oder im 90° Winkel dazu, als Seitwärtsstreulicht (Side Scatter, SSC) erfasst. Durch die Vorwärtsstreuung werden die Größe des Partikels und dessen Refraktionsindex, durch die Seitwärtsstreuung die Komplexität (Oberflächenbeschaffenheit und Granularität) charakterisiert. Die Signale werden von Photomultiplieren aufgefangen und an den angeschlossenen Computer weitergeleitet. Mit Hilfe dieses Computers werden die Geräteeinstellungen kontrolliert, Messereignisse erfasst und gespeichert. Bei dem für diese Versuche verwendeten Durchflusszytometer handelt es sich um ein FACScan® (s. 3.1) mit einem Argonlaser, der Licht einer Wellenlänge von 488 nm erzeugt. Das Gerät erfasst mit entsprechenden Detektoren (FL-1, FL-2, FL-3) zusätzlich Fluoreszenzlichtemissionen in drei verschiedenen Wellenlängenbereichen (Grünfluoreszenz: 515-545 nm; Orangefluoreszenz: 564-606 nm; Rotfluoreszenz: >650 nm). Jede Zelle oder jedes Partikel wird als Messereignis festgehalten und insgesamt durch fünf verschiedene Parameter (FSC, SSC, FL-1, FL-2, FL-3) charakterisiert. Mit Hilfe der Software „WinMDI Version 2.8“ erfolgte die Computer gestützte Auswertung der Daten. Ergebnisse wurden einparametrisch als Histogramm oder mehrparametrisch als korrelierte Punkte-, Dichte- oder Konturdiagramme dargestellt. Da die Werte einzelner Parameter stark von den Einstellungen für die FSC, SSC und Fluoreszenzdetektoren abhängen, wurden nur solche Messungen miteinander verglichen, die mit identischen Geräteeinstellungen erfasst wurden. |
3.3.13 Durchflusszytometrie
In einem Durchflusszytometer werden Einzelzellen in einem Probenführungssystem an einem Laserstrahl vorbei geleitet. Gestreutes Licht einer Wellenlänge (hier 488 nm) wird in Richtung des Strahls als so genanntes Vorwärtsstreulicht (Forward Scatter, FSC) oder im 90° Winkel dazu, als Seitwärtsstreulicht (Side Scatter, SSC) erfasst. Durch die Vorwärtsstreuung werden die Größe des Partikels und dessen Refraktionsindex, durch die Seitwärtsstreuung die Komplexität (Oberflächenbeschaffenheit und Granularität) charakterisiert. Die Signale werden aufgefangen und an den angeschlossenen Computer weitergeleitet. Mit Hilfe dieses Computers werden die Geräteeinstellungen kontrolliert, Messereignisse erfasst und gespeichert. Bei dem für diese Versuche verwendeten Durchflusszytometer handelt es sich um ein FACScan® (s. 3.1) mit einem Argonlaser, der Licht einer Wellenlänge von 488 nm erzeugt. Das Gerät erfasst mit entsprechenden Detektoren (FL-1, FL-2, FL-3) Fluoreszenzlichtemissionen in drei verschiedenen Wellenlängenbereichen (Grünfluoreszenz: 515-545 nm; Orangefluoreszenz: 564-606 nm; Rotfluoreszenz: >650 nm). Jede Zelle oder jedes Partikel wird folglich durch fünf verschiedene Parameter (FSC, SSC, FL-1, FL-2, FL-3) charakterisiert und als ein Messereignis festgehalten. Mit Hilfe der Software „WinMDI Version 2.8“ (TROTTER 1999) erfolgte die computergestützte Auswertung der Daten. Ergebnisse wurden einparametrisch als Histogramm oder mehrparametrisch als korrelierte Punkte-, Dichte- oder Konturdiagramme dargestellt. Da die Werte einzelner Parameter stark von den Einstellungen für die FSC, SSC und Fluoreszenzdetektoren abhängen, wurden nur solche Messungen miteinander verglichen, die mit identischen Geräteeinstellungen erfasst wurden. TROTTER, J (1999) |
Ohne Hinweis auf eine Übernahme. |
|
| [14.] Ad/Fragment 088 01 - Diskussion Zuletzt bearbeitet: 2014-07-10 00:48:16 Hindemith | Ad, BauernOpfer, Fragment, Gesichtet, Rohwer 2004, SMWFragment, Schutzlevel sysop |
|
|
| Untersuchte Arbeit: Seite: 88, Zeilen: 1ff (komplett) |
Quelle: Rohwer 2004 Seite(n): 71, 72, Zeilen: 71: 1ff; 72: 1ff |
|---|---|
| 3.3.3.1 Durchflusszytometrische Leukozytendifferenzierung
Die einzelnen Leukozyzenpopulationen unterscheiden sich in ihrer Größe und Komplexität. Die im peripheren Blut vorliegenden monozytoiden Zellen sowie deren Vorläufer erscheinen im Durchflusszytometer als die größten Zellen (höchster Wert im FSC). Demgegenüber nehmen Lymphozyten und Granulozyten einen ähnlichen Wert im FSC an. Diese beiden Populationen kann man über die innere Beschaffenheit der Zellen, also ihre Komplexität oder Diversität, gemessen im SSC, voneinander abgrenzen (s. Abbildung 9) Abbildung 9: Leukozytendifferenzierung mit dem Durchflusszytometer: Darstellung equiner Leukozyten links als Punktdiagramm („Dot Plot“) und rechts als Konturdiagramm („Contour Plot“) (ROHWER 2004). In den hier gewählten Darstellungen werden die morphologischen Eigenschaften einer gemischten Leukozytenpopulation dargestellt. Der forward scatter (FSC) Wert ist ein (relatives) Maß für die Zellgröße, der side scatter (SSC) entspricht dem Grad der Zellkomplexität (äußere sowie innere Strukturvielfalt). Die Größe der Werte wird mit „height“ angegeben und ist dimensionslos. In der linken Abbildung werden die Zellen als Punktdiagramm dargestellt. Die Wolke mit dem höchsten Wert für SSC entspricht polymorphkernigen Granulozyten (PMN), diejenige mit dem höchsten Wert für FSC den monozytoiden Zellen. Unten links in der Darstellung befinden sich eingekreist lymphoide mononukleäre Zellen (MNC). Die nicht eingekreisten Punkte ganz links unten stehen für Zellfragmente (Zelldetritus). Jeder Punkt im Diagramm entspricht einem Messereignis im Durchflusszytometer. Die rechte Abbildung zeigt ein Konturdiagramm der identischen Leukozytenpopulation. Jede Linie umfasst einen Bereich definierter, farblich codierter Zelldichte. Zur Definition einzelner Untergruppen der Messereignisse („Events“) wurden nach der Messung software-gestützt elektronische „Fenster“ (so genannte „Gates“) gesetzt und zum Teil mehrere Fenster logisch miteinander verknüpft. |
Durchflusszytometrische Leukozytendifferenzierung
Die einzelnen Leukozyzenpopulationen unterscheiden sich in ihrer Größe und Komplexität. Die im peripheren Blut vorliegenden monozytoiden Zellen sowie deren Vorläufer erscheinen im Durchflusszytometer als die größten Zellen (höchster Wert im FSC). Demgegenüber nehmen Lymphozyten und Granulozyten einen ähnlichen Wert im FSC an. Diese beiden Populationen kann man über die innere Beschaffenheit der Zellen, also ihre Komplexität oder Diversität, gemessen im SSC, voneinander abgrenzen (s. Abb. 3) Abb. 3 Leukozytendifferenzierung mit dem Durchflusszytometer: Darstellung equiner Leukozyten als Punktdiagramm („Dot Plot“) und Konturdiagramm („Contour Plot“) In den hier gewählten Darstellungen werden die morphologischen Eigenschaften einer gemischten Leukozytenpopulation dargestellt. Der forward scatter (FSC) Wert ist ein (relatives) Maß für die Zellgröße, der side scatter (SSC) entspricht dem Grad der Zellkomplexität (äußere sowie innere Strukturvielfalt). Die Größe der Werte wird mit height angegeben und ist einheitslos. In der linken Abbildung werden die Zellen als Punktdiagramm dargestellt. Die Wolke mit dem höchsten Wert für SSC entspricht polymorphkernigen Granulozyten (PMN), diejeinge [sic] mit dem höchsten Wert für FSC den monozytoiden Zellen (Monos) (vgl. Abb. 6). Unten links in der Darstellung befinden sich lymphoide, mononukleäre Zellen (MNC). Jeder Punkt im Diagramm entspricht einem Messereignis im Durchflusszytometer. Die rechte Abbildung zeigt ein Konturdiagramm der identischen Leukozytenpopulation. Jede Linie umfasst einen Bereich definierter, farblich codierter Zelldichte. Zur Definition einzelner Untergruppen der Messereignisse („Events“) wurden nach der Messung software-gestützt elektronische „Fenster“ (so genannte „Gates“) gesetzt und zum [Seite 72] Teil mehrere Fenster logisch miteinander verknüpft. |
Einzig die Abbildung wird (einigermaßen) korrekt referenziert. Dass der umgebende Text (nicht nur der Bildlegende) auch vollständig aus Rohwer [2004] stammt, wird in keiner Weise ersichtlich (gemacht). Das Fragment wirft die Frage auf, warum eine Quellenangabe nur für die Abbildung erfolgte. |
|
| [15.] Ad/Fragment 089 01 - Diskussion Zuletzt bearbeitet: 2014-07-10 00:55:12 Hindemith | Ad, BauernOpfer, Fragment, Gesichtet, Rohwer 2004, SMWFragment, Schutzlevel sysop |
|
|
| Untersuchte Arbeit: Seite: 89, Zeilen: 1-12 |
Quelle: Rohwer 2004 Seite(n): 72, Zeilen: 1 ff. |
|---|---|
| [So wurden bspw. in Mischungen aus] PMN und MNC die PMN anhand ihrer charakteristischen Morphologie im FSC/SSC-Punktediagramm identifiziert (Abbildung 10 R1: Region 1) und im FL 3/SSC-Punktediagramm die vitalen Zellen (R2: Region 2). Eine Verknüpfung von R1 und R2 bot somit ein „Fenster“ auf vitale PMN (Abbildung 10).
Abbildung 10: Logische Verknüpfung durchflusszytometrischer Daten am Beispiel vitaler equiner PMN (ROHWER 2004). Im ersten Fenster links sind die morphologisch trennbaren Populationen kernhaltiger Zellen aus dem peripheren Blut von Pferden dargestellt (s 3.2.9). Über eine Software gestützte Markierung werden in diesem Beispiel nur die PMN ausgewählt. Das mittlere Bild differenziert zwischen Zellen, deren DNA Propidiumjodid eingelagert haben (membrandefekte Zellen, rechte Hälfte des mittleren Bildes) und vitalen Zellen (linker Rand). Im Fenster rechts werden nur noch die lebenden PMN morphologisch dargestellt und können so qualitativ und quantitativ (s.3.3.3) ausgewertet werden. |
So wurden bspw. in Mischungen aus PMN und MNC die PMN anhand ihrer charakteristischen Morphologie im FSC/SSC-Punktediagramm identifiziert (R1: Region 1) und im FL-3/SSC-Punktediagramm die vitalen Zellen (R2: Region 2). Eine Verknüpfung von R1 und R2 bot somit ein „Fenster“ auf vitale PMN (s. Abb. 4).
Abb. 4 Logische Verknüpfung durchflusszytometrischer Daten am Beispiel vitaler equiner PMN Im ersten Fenster links sind die morphologisch trennbaren Populationen kernhaltiger Zellen aus dem peripheren Blut von Pferden dargestellt (s. 3.3.7). Über eine software-gestützte Markierung werden in diesem Beispiel nur die PMN ausgewählt. Das mittlere Bild differenziert zwischen Zellen, deren DNA Propidiumjodid eingelagert haben (membrandefekte Zellen, rechter Rand des mittleren Bildes) und vitalen Zellen. Im Fenster rechts werden nur noch die lebenden PMN morphologisch dargstellt. |
Quelle ist beim Abbildungsnachweis benannt, nicht aber beim Text davor und danach. |
|
| [16.] Ad/Fragment 102 22 - Diskussion Zuletzt bearbeitet: 2014-07-10 01:10:31 Hindemith | Ad, Fragment, Gesichtet, Rohwer 2004, SMWFragment, Schutzlevel sysop, Verschleierung |
|
|
| Untersuchte Arbeit: Seite: 102, Zeilen: 22 ff. |
Quelle: Rohwer 2004 Seite(n): 74, Zeilen: 1 ff. |
|---|---|
| 3.3.7 Statistische Verfahren
Zur Abschätzung der Wahrscheinlichkeit von Differenzen zwischen Datengruppen wurden der Dunnett's Multiple Comparison Test genutzt oder der Tukey's Multiple Comparison Test eingesetzt. Die Inter-assay-varianz ist ein Maß für die Streuung der Messwerte eines Parameters in zeitlich verschiedenen Untersuchungen und beschreibt die Wiederholbarkeit der Ergebnisse von Test zu Test. Für ein biologisches System in vitro, dessen Reaktionslage in Abhängigkeit von vielen Faktoren prinzipiell inter- und intraindividuell zu Schwankungen neigt, war eine gute Reproduzierbarkeit der Werte für die einzelnen Parameter unterschiedlicher Tests nicht zu erwarten. Die angegebenen Fehlerbalken entsprechen dem SEM (standard error of mean). |
3.3.15 Statistische Verfahren
Zur Abschätzung der Wahrscheinlichkeit von Differenzen zwischen Datengruppen wurden der zweiseitige Student´s t-Test oder der gepaarte t-Test (STEEL & TORRIE 1980) eingesetzt. Wenn nicht normal verteilte Populationen analysiert wurden, wird dort gesondert im Text darauf hingewiesen. Die Inter-assay-varianz ist ein Maß für die Streuung der Messwerte eines Parameters in zeitlich verschiedenen Untersuchungen und beschreibt die Wiederholbarkeit der Ergebnisse von Test zu Test. Für ein biologisches System, dessen Reaktionslage in Abhängigkeit von vielen Faktoren prinzipiell inter- und intraindividuell zu Schwankungen neigt, war eine gute Reproduzierbarkeit der Werte für die einzelnen Parameter unterschiedlicher Tests nicht zu erwarten. Dennoch werden in dieser Arbeit Datensätze gezeigt, die einen Zeitraum von 7 Monaten bis zu 2 Jahren umfassen. Die dort angegebenen Fehlerbalken entsprechen dem SEM (standard error of mean). |
Kein Hinweis auf die Quelle. |
|
| [17.] Ad/Fragment 103 01 - Diskussion Zuletzt bearbeitet: 2014-07-10 01:17:01 Hindemith | Ad, BauernOpfer, Fragment, Gesichtet, Rohwer 2004, SMWFragment, Schutzlevel sysop |
|
|
| Untersuchte Arbeit: Seite: 103, Zeilen: 1 ff. (komplett) |
Quelle: Rohwer 2004 Seite(n): 74, 75, Zeilen: 74: 18ff; 75: 1ff |
|---|---|
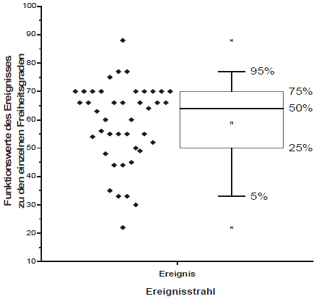
| 3.3.8 Statistische Darstellung als Box Chart
Im Ergebnisteil werden einige Daten in Form von Box Charts dargestellt. Der Box Chart dient der Darstellung statistischer Auswertungen der Verteilung von Messwerten (SACHS 1997). In Abbildung 12 ist ein symbolischer Box Chart zur Erläuterung dargestellt. Auf der linken Seite der Abbildung sind die Einzelwerte dargestellt, die in dem Box Chart zusammengefasst sind. Der Stern unter dem Box Chart zeigt den minimalen Messwert, die untere horizontale Linie die 5% Grenze. In der Box selbst liegen 50% aller Messwerte. Zusätzlich kann an der Box das arithmetische Mittel aller Messwerte abgelesen werden (kleines Quadrat in der Box). Das obere Ende der vertikalen Linie entspricht der Grenze, die 95% aller Ereignisse beinhaltet. Der obere Stern entspricht schließlich dem maximalen Messwert. Anhand der 50% Linie kann bereits abgeschätzt werden, ob sich die Population normal verteilt (50% Marke liegt mittig in der Box), oder ob eine Schiefe zu erwarten ist (symbolisch dargestellt ist eine Rechtsschiefe in der Population). Abbildung 12: Symbolischer Aufbau eines Box Charts (ROHWER 2004) Dargestellt ist die Form eines Box Charts sowie die statistischen Angaben, die ihm zu entnehmen sind. |
Statistische Darstellung als Box Chart
Im Ergebnisteil werden einige Daten in Form von Box Charts dargestellt. Der Box Chart dient der Darstellung statistischer Auswertungen der Verteilung von Messwerten (SACHS 1997). In Abb. 5 ist ein symbolischer Box Chart zur Erläuterung dargestellt. Auf der linken Seite der Abbildung sind die Einzelwerte dargestellt, die in dem Box Chart zusammengefasst sind. Der Stern unter dem Box Chart zeigt den minimalen Messwert, die untere horizontale Linie die 5% Grenze. In der Box selbst liegen 50% aller Messwerte. Zusätzlich kann an der Box das arithmetische Mittel aller Messwerte abgelesen werden (kleines Quadrat in der Box). Das obere Ende der vertikalen Linie entspricht der Grenze, die 95% aller Ereignisse beinhaltet. Der obere Stern entspricht schließlich dem maximalen Messwert. Anhand der 50% Linie kann bereits abgeschätzt werden, ob sich die Population normal verteilt (50% Marke liegt mittig in der Box), oder ob eine Schiefe zu erwarten ist (symbolisch dargestellt ist eine Rechtsschiefe in der Population). [Seite 75] Abb. 5 Symbolischer Aufbau eines Box Charts Dargestellt ist die Form eines Box Charts sowie die statistischen Angaben, die ihm zu entnehmen sind (s. Erläuterungen im Text unten). |
Bei der Abbildung ist die Quelle genannt. Dass der Text auch aus der Quelle stammt ist aber nicht klar. |
|





